Hb_000243_050

Information

Type -
Description -
Location Contig243: 19910-22631
Sequence    

Annotation

kegg
ID rcu:RCOM_0533080
description ADP-ribosylation factor, putative
nr
ID XP_002521502.1
description ADP-ribosylation factor, putative [Ricinus communis]
swissprot
ID Q9ZPX1
description ADP-ribosylation factor-like protein 2 OS=Arabidopsis thaliana GN=ARL2 PE=2 SV=1
trembl
ID B9S683
description ADP-ribosylation factor, putative OS=Ricinus communis GN=RCOM_0533080 PE=3 SV=1
Gene Ontology
ID GO:0044699
description adp-ribosylation factor-like protein 2

Full-length cDNA clone information

cDNA+EST
(Sanger&Illumina)
(ID:Location)
-
cDNA
(Sanger)
(ID:Location)
-

Similar expressed genes (Top20)


Rank Gene Score (JSD) Function Description NCBI(nr) information
1 Hb_000243_050 0.0 - - ADP-ribosylation factor, putative [Ricinus communis]
2 Hb_138667_010 0.039797641 - - hypothetical protein JCGZ_04974 [Jatropha curcas]
3 Hb_000280_120 0.0406849948 - - PREDICTED: uncharacterized protein LOC105643934 [Jatropha curcas]
4 Hb_003938_100 0.0583950688 - - conserved hypothetical protein [Ricinus communis]
5 Hb_168909_010 0.0665428085 - - PREDICTED: uncharacterized protein LOC105640156 [Jatropha curcas]
6 Hb_001301_070 0.0782128477 - - -
7 Hb_028872_040 0.0882340502 - - serine-threonine protein kinase, plant-type, putative [Ricinus communis]
8 Hb_000192_060 0.101067387 - - -
9 Hb_007709_020 0.1162983439 - - PREDICTED: uncharacterized protein LOC105049010 [Elaeis guineensis]
10 Hb_114121_010 0.1186847566 - - -
11 Hb_151411_010 0.120548415 - - -
12 Hb_002585_060 0.1218349898 - - PREDICTED: uncharacterized protein LOC104899128, partial [Beta vulgaris subsp. vulgaris]
13 Hb_000209_010 0.1250701254 - - -
14 Hb_002733_050 0.1256682638 - - hypothetical protein PRUPE_ppa015000mg [Prunus persica]
15 Hb_006013_030 0.1342791598 - - -
16 Hb_179183_010 0.1417414234 - - RALF-LIKE 32 family protein [Populus trichocarpa]
17 Hb_000916_010 0.142898068 - - hypothetical protein POPTR_0001s08730g [Populus trichocarpa]
18 Hb_038190_030 0.1431715826 - - -
19 Hb_039547_010 0.1437826924 - - PREDICTED: equilibrative nucleotide transporter 3-like [Jatropha curcas]
20 Hb_002056_140 0.1460026192 - - -

Gene co-expression network

sample Hb_000243_050 Hb_000243_050 Hb_138667_010 Hb_138667_010 Hb_000243_050--Hb_138667_010 Hb_000280_120 Hb_000280_120 Hb_000243_050--Hb_000280_120 Hb_003938_100 Hb_003938_100 Hb_000243_050--Hb_003938_100 Hb_168909_010 Hb_168909_010 Hb_000243_050--Hb_168909_010 Hb_001301_070 Hb_001301_070 Hb_000243_050--Hb_001301_070 Hb_028872_040 Hb_028872_040 Hb_000243_050--Hb_028872_040 Hb_138667_010--Hb_000280_120 Hb_138667_010--Hb_028872_040 Hb_138667_010--Hb_003938_100 Hb_007709_020 Hb_007709_020 Hb_138667_010--Hb_007709_020 Hb_138667_010--Hb_168909_010 Hb_000280_120--Hb_168909_010 Hb_000280_120--Hb_028872_040 Hb_000280_120--Hb_003938_100 Hb_006013_030 Hb_006013_030 Hb_000280_120--Hb_006013_030 Hb_038190_030 Hb_038190_030 Hb_003938_100--Hb_038190_030 Hb_003938_100--Hb_001301_070 Hb_002056_140 Hb_002056_140 Hb_003938_100--Hb_002056_140 Hb_114121_010 Hb_114121_010 Hb_168909_010--Hb_114121_010 Hb_002733_050 Hb_002733_050 Hb_168909_010--Hb_002733_050 Hb_168909_010--Hb_001301_070 Hb_179183_010 Hb_179183_010 Hb_168909_010--Hb_179183_010 Hb_000192_060 Hb_000192_060 Hb_001301_070--Hb_000192_060 Hb_151411_010 Hb_151411_010 Hb_001301_070--Hb_151411_010 Hb_000209_010 Hb_000209_010 Hb_001301_070--Hb_000209_010 Hb_000916_010 Hb_000916_010 Hb_001301_070--Hb_000916_010 Hb_039547_010 Hb_039547_010 Hb_001301_070--Hb_039547_010 Hb_028872_040--Hb_007709_020 Hb_002142_010 Hb_002142_010 Hb_028872_040--Hb_002142_010 Hb_028872_040--Hb_003938_100
Green: transcription factors, Orange: rubber biosynthesis, Blue: desease resistance

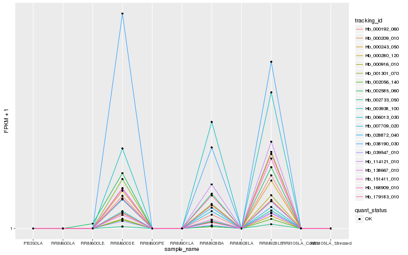
Expression pattern by RNA-Seq analysis

RRIM600_Latex RRIM600_Bark RRIM600_Leaf RRIM600_Petiole PB350_Latex RRIM901_Latex
0 0.177742 0 0 0 0
RRII105_Latex_C RRII105_Latex_S RRIM928_Latex RRIM928_Bark RRIM928_Leaf
0 0 0 0.106494 0.230433

CAGE analysis